Бесплатная доставка при покупке от 700 рублей* Бесплатная доставка при покупке от 700 рублей действует при выборе пунктов выдачи СДЭК или 5post.
Издательский Дом "Питер"
Магазин Издательство Новости Авторам Rights
Войти / Регистрация
0 = 0 р.
Итого: 0 р.
8 (800) 500 42 17
Время работы:
Пн-Пт: с 10:00 до 18:00

Время работы:
Пн-Пт: с 10:00 до 18:00

 
Новинки Бестселлеры Скоро Рекомендуем
Главная > Авторы > От А до Г > Балашов Алексей Игоревич > Предпринимательское право: Учебное пособие. Стандарт третьего поколения
Предпринимательское право: Учебное пособие. Стандарт третьего поколения

Предпринимательское право: Учебное пособие. Стандарт третьего поколения

Балашов А. И.

  • Тема: Учебное пособие
  • Год: 2011
  • Страниц: 320
  • Вес: 306 г.
  • Обложка: Твердый переплет
  • Формат: 146х213х17 мм
  • ISBN: 978-5-459-00301-7
Бумажная книга
Сообщить о поступлении
 
Оглавление Полистать
  • Описание
  • Отзывы
  • Другие книги автора
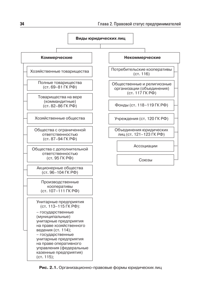
В учебном пособии рассматриваются основы предпринимательского права Российской Федерации: организационно-правовые формы хозяйствующих субъектов; правовой режим имущества предпринимателей; сделки и представительство; хозяйственный (предпринимательский) договор; государственное регулирование хозяйственной деятельности; защита прав и законных интересов предпринимателей. В работе определено понятие и раскрыто содержание предпринимательского права, показана история его зарождения и развития.
Учебное пособие рекомендовано студентам высших учебных заведений экономических и юридических специальностей, изучающим дисциплины «Хозяйственное право», «Коммерческое право», «Предпринимательское право», «Правовые аспекты управленческой деятельности», а также магистрантам, аспирантам и преподавателям.
Пособие будет интересно всем, кто изучает вопросы правового регулирования предпринимательской деятельности

Пока нет отзывов

Оставить отзыв

CAPTCHAОбновить изображение

Наберите текст, изображённый на картинке

Все поля обязательны к заполнению

Перед публикацией отзывы проходят модерацию
Хозяйственное (предпринимательское) право. Краткий курс
Хозяйственное (предпринимательское) право. Краткий курс Рассматриваются основы хозяйственного (предпринимательского) права РФ: организационно-правовые формы хоз. субъектов, правовой режим имущества предпринимателей, гос. регулирование хоз. деятельности, защита прав предпринимателей.
23
26 р.
нет в продаже
Правоведение: Учебник для вузов. 7-е изд., дополненное и переработанное. Стандарт третьего поколения
Правоведение: Учебник для вузов. 7-е изд., дополненное и переработанное. Стандарт третьего поколения Учебник подготовлен в соответствии с действующим государственным стандартом по курсу «Правоведение» для высших учебных заведений неюридических специальностей. Гриф Мин.образования
нет в продаже



Мы в социальных сетях:
Youtube
Telegram
Vkontakte
habrahabr.ru
IT – литература:
Telegram
habrahabr.ru
Наши детские аккаунты:
Telegram
Vkontakte
Психология. Питер:
Telegram
 
 
Помощь
Соглашение о продаже Как заказать Доставка товаров Способы оплаты Акции и скидки Обратная связь Возврат Оформление заказа Файлы к книгам Дисконт (Незначительный брак)
Издательство
Партнерская программа Приглашаем авторов Рекламодателям Книги под заказ Книготорговым организациям Rights Совместные покупки Партнеры
О нас
О компании Новости Где купить Контакты Вакансии

Подписка
Электронный адрес *
Имя
Фамилия



Mailigen Email маркетинг
* Обязательные поля

Наши реквизиты:ООО «Мейл Плюс»
ИНН 7802524386 КПП 780201001
Реквизиты р /с получателя: 40702810955080005460 в СЕВЕРО-ЗАПАДНЫЙ БАНК ПАО СБЕРБАНК г. Санкт-Петербург
к/с 30101810500000000653, БИК 044030653
Юр. адрес: 194044, г. Санкт-Петербург, Большой Сампсониевский пр-кт, дом № 29, литера А
Почтовый адрес: 194044, г. Санкт-Петербург, Большой Сампсониевский пр-кт, дом № 29, литера А

Заказ обратного звонка

Спасибо за обращение!
Скоро с вами свяжется наш менеджер